January 29, 2026

GarhNews

Leading News Portal of Garhwal Uttarakhand

पुलिसकर्मियों के बंपर तबादले, 184 कर्मियों को भेजा पहाड़, देखें पूरी लिस्ट

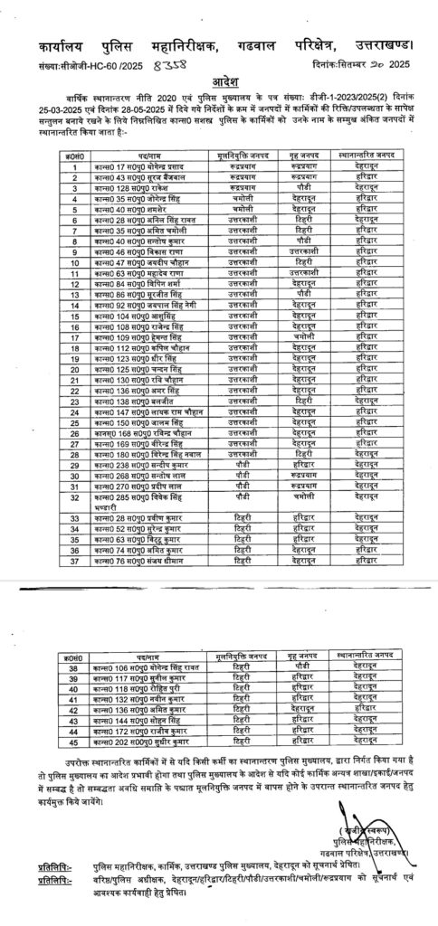
देहरादून: पुलिस महानिरीक्षक गढ़वाल परिक्षेत्र राजीव स्वरूप की ओर से वार्षिक स्थानांतरण नीति के तहत परिक्षेत्र के कुल 344 कर्मियों का स्थानांतरण किया गया हैं। अराजपत्रित पुलिस कर्मचारियों की वार्षिक स्थानान्तरण नीति-2020 के अनुक्रम में गढ़वाल परिक्षेत्र के जनपदों में मैदानी एवं पर्वतीय जनपदों में निर्धारित समयावधि पूर्ण करने वाले कर्मचारियों का पर्वतीय जनपदों से मैदानी जनपदों एवं मैदानी जनपदों से पर्वतीय जनपदों में स्थानांतरण किया गया।

पर्वतीय जनपदों से पात्र कार्मिक 1092 थे जिनमें से 85% कर्मियों द्वारा निर्धारित समयावधि पूर्ण होने के उपरांत भी स्वेच्छा से पर्वतीय जनपदों में सेवा करने के इच्छुक थे। स्थानांतरण नीति में दी गई व्यवस्था के तहत ऐसे कार्मिकों को छोड़कर शेष 15% कार्मिकों के पर्वतीय जनपद से मैदानी जनपदों में स्थानांतरण किए गए।

पर्वतीय जनपद से मैदानी जनपद स्थानांतरित कार्मिक
ASI 09
हेड का0 45
का 0 106

मैदानी जनपद से पर्वतीय जनपद स्थानांतरित कार्मिक
ASI 13
हेड का0 49
का0 122

About Author